STEIN ACADEMY REGISTRATION CURRENTLY GOING ON FOR CNA/GNA, PHLEBOTOMY, EKG, PHARMACY TECH, NURSE TECH/PATIENT CARE AND MEDICATION TECH

STEIN ACADEMY
properties of the academy

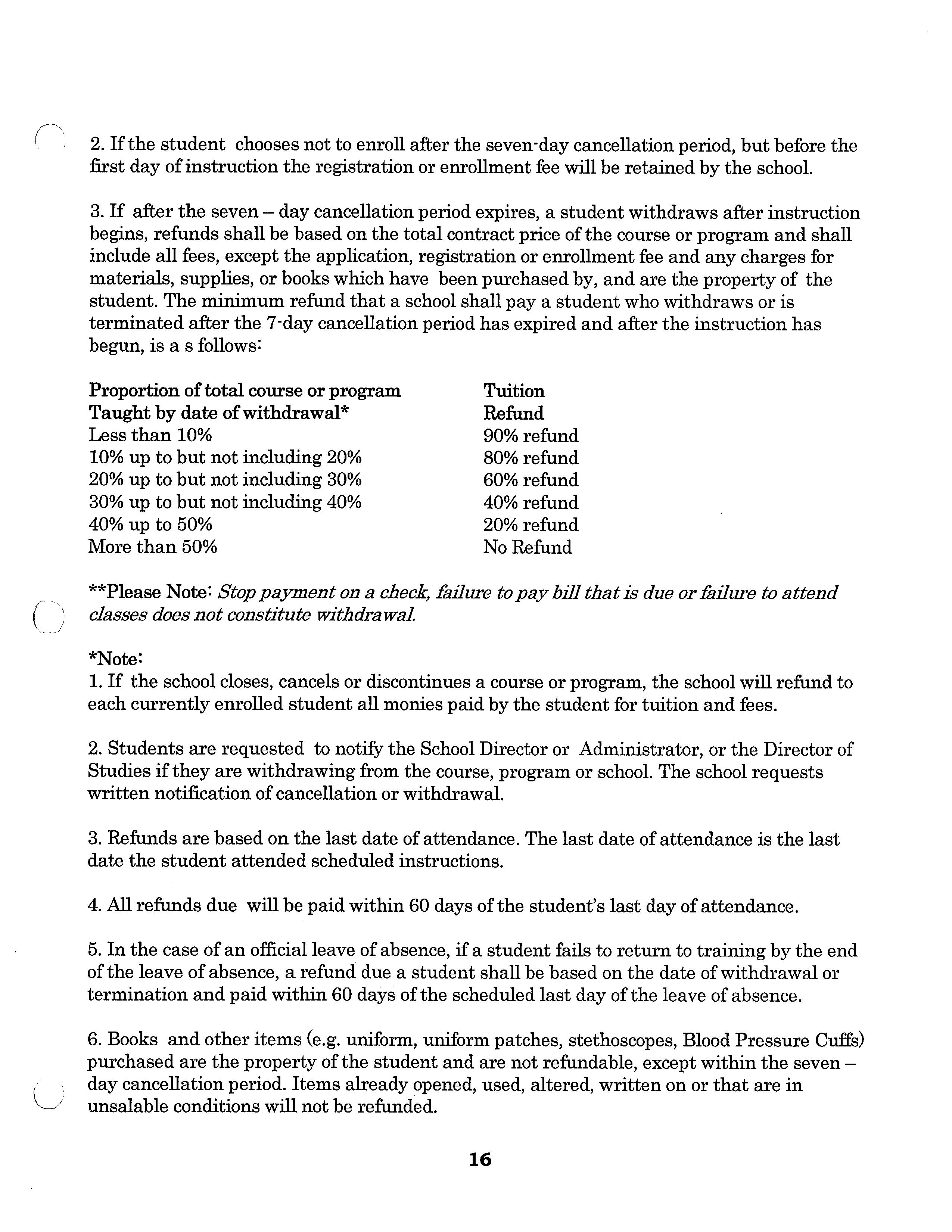
Stein Academy registration is currently on going for CNA/GNA, Phlebotomy, EKG, Pharmacy Tech, Nurse Tech/Patient Care and Medication Tech.

School Catalog

 
 
 
 
 
 
 
 
 
 
 
 
 
 
 
 
 
 
 
 
 
 
 
 
 
 
 
 
 
 
 
 
 
Valid XHTML 1.0 Transitional
Valid CSS!